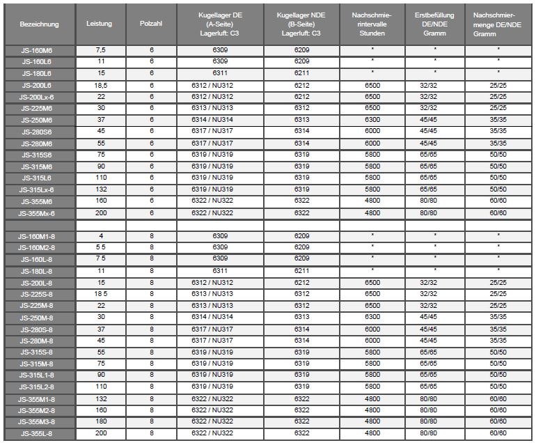
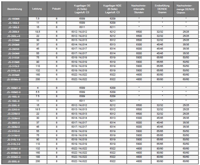
5. ¿Cuándo necesita un motor eléctrico un cojinete reforzado?
Los cojinetes reforzados se utilizan en motores eléctricos cuando las fuerzas laterales sobre el eje del motor son demasiado elevadas. Este suele ser el caso de los motores más grandes, a partir del tamaño 200, si la potencia mecánica se transmite con correas trapezoidales. Este refuerzo del cojinete sólo es necesario en el lado del eje (lado A) del motor. En la tabla siguiente encontrará una lista de los tipos de motor en los que es posible la instalación de un cojinete reforzado (cojinete NU). Si el refuerzo del cojinete es necesario para accionamientos más pequeños, póngase en contacto con nosotros para una comprobación técnica.
las especificaciones técnicas están sujetas a cambios
